2. 프루드의 가정
차원(dimention)은 각종 물리량의 성질이 다름을 나타내는 척도이며, 단위(unit)는 물리량의 크기를 나타내기 위해, 즉 물리량을 수(number)로 나타내기 위해 필요한 체계이다. 국제단위계(SI)에 따르면, 모든 물리량은 길이(m), 질량(kg), 시간(s), 온도(K), 전류(A), 빛의 양(cd), 물질의 양(mol) 등 일곱 개의 기본 차원을 사용하여 나타낼 수 있다. 모형시험을 수행하고 그 결과를 실선으로 확장하는 경우 관련된 물리량들은 무차원화된 계수(dimentionless coefficient)로 표현하는 것이 일반적인데 이는 실선과 모형선의 관련 물리량 자체는 그 크기가 다르지만 물리량의 무차원화된 값은 같은 크기를 가지는 경우가 많기 때문이다. 아래에서는 먼저 선박의 모형시험과 관련하여 매우 중요한 두 가지 무차원 수와 자주 사용되는 무차원 계수에 대해서 알아보기로 한다.
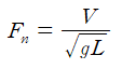
1) 프루드수(Froude number, Fn)
배(수상선)와 같이 수표면에서 이동하면서 파도를 발생시키는 물체를 시험하는 경우, 파도를 생성하는데 가장 주요한 역할을 하는 관성력과 중력의 비를 같게 해주면 동역학적 상사가 만족된다. 유체역학에서 배우게 될 바와 같이, 관성력과 중력의 비를 나타내는 수는 프루드수라고 부르며, 다음과 같이 정의된다.
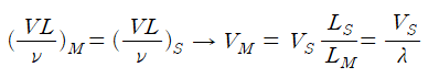
여기서 g는 중력가속도, L은 배의 길이이다. 따라서 모형선과 실선의 프루드수가 동일하면, 배에 의해 만들어지는 파도의 물리적 특성이 모형시험에서도 동일하게 구현될 수 있다. 모형시험 시 모형선의 속도는 실선과 모형선의 프루드수가 같은 크기를 가지도록 결정되고 다음 식으로 주어지며,
이렇게 결정되는 모형선의 속도를 대응속도(corresponding speed)라고 부른다.
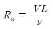
2) 레이놀즈수(Reynolds number, Rn)
배의 저항은 상당 부분이 점성에 기인하는 마찰저항이며, 이와 같이 점성이 주요한 역할을 하는 현상을 다룰 때는 관성력과 점성력의 비를 같게 해야 동역학적 상사가 만족된다. 유체역학에서 배우게 될 바와 같이 관성력과 점성력의 비를 나타내는 수를 레이놀즈수라고 부르며 다음과 같이 정의된다.
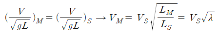
여기서 v는 유체의 운동학적 점성계수(kinematic viscosity)이며, 동점성계수(dynamic viscosity) mu와 밀도 rho의 비 mu/rho로 정의된다. 만약 모형시험을 바다에서 모형선과 실선의 레이놀즈수를 동일하게 하여 수행한다면, 운동학적 점성 계수는 모형선과 실선에 대해 동일하다고 볼 수 있으므로, 모형선의 속도는 다음 식으로 주어진다.
다시 말하면 모형선의 속도를 실선보다 훨씬 빠르게 해 주어야 레이놀즈수를 같게 할 수 있다.
3) 저항계수
모형시험에서 계측된 모형선의 저항을 사용하여 실선의 저항을 얻고자 하는 경우, 저항 및 그 성분들을 무차원화하여 저항계수(resistance coefficient)로 표현하는 것이 일반적이다. 전체 저항계수 Ct는 배의 전체 저항 Rt를 무차원화하여 다음과 같이 정의할 수 있다.
여기서 S는 배의 침수표면적(wetted surface area)이고 mu*V^2/2은 유체역학에서 배우게 될 정체압(stagnation pressure)이라고 불리는 양이며, 힘이나 압력을 무차원화하는데 자주 사용된다.
실선의 저항을 추정하기 위한 모형시험은 대부분 담수(fresh water, 또는 청수)에서 이루어지므로 운동학적 점성계수의 값은 실선과 모형선에 대해 약간의 차이가 있다. 15℃에서 운동학적 점성 계수는 담수와 해수의 차이가 해수에 대한 값이 약 4% 밖에 크지 않으므로 위의 식에 보는 바와 같이 모형선과 실선의 프루드수와 레이놀즈수를 동시에 같게 해주는 것은 불가능하다. 저항 추진 과목에서 배우게 될 바와 같이 프루드수와 레이놀즈수를 모형선과 실선에 대해 모두 같게 해주면 배의 전체 저항계수 역시 같은 값을 가지지만, 위에서 본 것처럼 두 무차원수를 모두 같게 해주는 것은 불가능하며 실제 모형시험의 경우에는 프루드수를 같게 하여 모형선을 대응 속도에서 실험하고 있다. 따라서 모형시험에서 얻어진 전체 저항 계수로부터 어떻게 실선의 전체 저항계수를 얻을 것인가 하는 것이 중요한 문제가 되며 프루드는 바로 이 문제와 관련하여 지대한 공헌을 하였다.
프루드는 전체저항계수 Ct를 두 성분으로 나누어 마찰저항계수 Cf와 잉여 저항계수 Cr의 합으로 보았으며, 나아가 Cf는 레이놀즈수만의 함수이고, Cr은 프루드수만의 함수로 보아 다음과 같이 가정하였다.
이와 같은 프루드의 가정은 만약 모형선과 실선의 프루드수가 같도록 모형시험이 수행된다면 모형선과 실선의 잉여저항계수 Cr은 같아야 함을 뜻한다. 따라서 모형선과 실선의 마찰저항계수 Cf(Rn)를 적절한 방법에 의해 알아낼 수 있다면 모형시험의 결과로부터 실선의 전체 저항계수를 얻을 수 있을 것이다. 프루드는 모형선과 실선에 대한 Cf(Rn)를 구하는데 배와 길이, 침수 표면적이 같은 평판, 즉 등가평판(equivalent flat plate)의 마찰저항계수를 사용할 것을 제안하였으며 다양한 형상의 평판에 대한 실험을 수행하여 실선과 모형선의 마찰저항계수를 구하는데 어려움이 없도록 하였다.
프루드수가 증가함에 따라 마찰저항계수는 비교적 큰 변화가 없으나 잉여저항계수는 크게 증가하는 것을 볼 수 있으며, Cr/Ct가 원유 탱커의 경우 33%, 구축함의 경우 45%로 Cr의 크기도 증가하지만 전체 저항에서 차지하는 비율도 증가함을 알 수 있다.
프루드의 선구적인 연구 이래로 실선의 Ct 및 각종 저항계수를 보다 합리적인 방법으로 추정하기 위한 연구들이 다양한 방법, 개념들을 사용하여 이루어져 왔으며 다음 글에서는 이에 대해 살펴보기로 한다.
'선박해양공학개론' 카테고리의 다른 글
7. 선박의 추진(1) (0) | 2022.02.03 |
---|---|
6. 선박의 저항(3) (0) | 2022.01.31 |
6. 선박의 저항(1) (0) | 2022.01.26 |
5. 정적복원성 / 선박관련법과 관련기구 (0) | 2022.01.24 |
4. 근사적분과 도심 / 수정역학적 곡선 (0) | 2022.01.20 |
댓글