본문 바로가기
선박해양공학개론

7. 선박의 추진(1)

by 별이쿤 2022. 2. 3.
반응형

7.1 선박의 추진

1850년대 초기 영국 해군에서 배의 추진을 위해 프로펠러를 본격적으로 채택하기 시작하면서 일반 상선에도 활발히 적용되기에 이른 나사 프로펠러(screw propeller)는 그 당시의 경쟁자였던 외륜에 비해 운항 중 발생하는 흘수 감소가 추력 변화에 미치는 영향이 적고, 선박의 폭을 크게 해야 할 필요도 없었으며, 무게도 작고 회전수가 높아 효율도 좋았다. 이후 지속적으로 효율과 성능을 개선해 온 프로펠러는 오늘날 대부분의 선박에서 추진기(propulsor)로 사용되고 있으며, 자동차나 비행기 등의 다른 교통기관의 추진장치와 비교하여 배의 추진장치가 매우 높은 효율을 가질 수 있도록 하고 있다.

 

 

7.1.1 프로펠러 추진

프로펠러의 추진 원리에 대해 알아보기 위해 먼저 그 기하학적 형상을 기술하는데 필요한 명칭의 정의에 대해 살펴본다. 프로펠러는 통상 복수의 날개(blade)를 가지며, 각각의 날개는 회전축의 중심선, 즉 축심과 동심축을 가진 축방향 원통과 만나는 곡면이 비행기의 날개단면(airfoil 또는 hydrofoil)과 같은 형상을 가지도록 설계, 제작된다.

출처: 네이버 블로그

 

 

1. 프로펠러의 기하학적 특성

1) 프로펠러 기준선(propeller reference line), 프로펠러평면(propeller plan), 제작 기준선(generator line)

프로펠러 기준선은 축심과 직각을 이루는 직선으로 통상 수직상방으로 취하며, 이 선을 축심에 대해 회전시켜 프로펠러평면을 얻는다. 제작 기준선은 프로펠러 제작의 기준이 되는 선으로 프로펠러 기준선과 축심으로 이루어지는 수직평면 상에 위치한다.

 

2) 혀브(hub 또는 boss), 날개끝(blade tip)

프로펠러 날개의 반경방향 양단은 축심부분을 허브, 바깥 부분을 날개끝(blade tip)이라고 부른다.

 

3) 직경(diameter) D, 프로펠러원판(propeller disc)

프로펠러가 1회전 했을 때 날개끝이 그리는 원의 지름으로, 그 반을 반경(radius) R로 취하며, 프로펠러평면 상에서 축심에 중심을 가지며 직경이 D인 원으로 만들어지는 원판을 프로펠러원판(propeller disk)이라고 한다.

 

4) 앞날(leading edge), 뒷날(trailing edge), 앞면(face), 뒷면(back)

프로펠러의 날개단면에서 먼저 물을 가르는 끝을 앞날, 그 반대쪽 끝을 뒷날이라고 한다. 앞날과 뒷날을 연결하는 두 곡선 중, 아래 부분은 앞면, 위 부분은 뒷면이라고 한다. 따라서 프로펠러 날개의 선수 쪽 면이 뒷면, 선미 쪽 면이 앞면이 되어 혼동의 소지가 있으나, 이는 날개 단면과 관련된 명칭으로 관련 분야에서 널리 쓰이고 있으므로 그대로 사용되고 있다.

 

5) 코드(chord), 날개단면 기준점(blade section reference point)

날개 단면의 앞날과 뒷날을 연결한 직선, 또는 그 길이를 코드 c라고 하며, 코드의 중앙점(mid-chord point)을 날개 단면 기준점으로 정하며, 반경 방향으로 날개 단면 기준점을 연결한 선을 날개 단면 기준선이라고 한다.

 

6) 레이크(rake)

각 반경위치에서 프로펠러 기준선으로부터 제작 기준선까지의 축방향 직선거리를 말한다. 보통 후류 방향을 양(+)으로 잡으며, 제작 기준선이 직선인 경우에는 프로펠러 기준선과 제작 기준선 사이의 각을 레이크각이라고 한다.

 

7) 스큐(skew)

날개단면 기준선이 프로펠러 기준선과 이루는 각을 뜻한다.

 

8) 피치(pitch) P

프로펠러가 1회전 했을 때 각 반경위치에서의 날개 단면이 축방향으로 전진하는 거리를 말한다. 각 반경에서의 피치 값이 일정한 경우를 일정피치(constant pitch), 반경에 따라 변하는 경우를 변동피치(variable pitch)라고 부른다. 피치비(=P/D)는 피치를 직경으로 나눈 값으로 정의한다.

 

9) 날개윤곽선(blade outline)

날개윤곽선은 각 날개 단면의 앞날과 뒷날을 연결하여 얻어진다. 투영윤곽선(projected outline)은 날개를 축방향으로 프로펠러평면에 투영했을 때 얻어지는 윤곽선을 뜻하며, 확장윤곽선(expanded outline)은 각 날개 단면을 평면 위에 펼쳤을 때 얻어지는 도형의 경계선을 뜻한다. 확장면적비(expanded area ratio)는 확장 윤곽의 면적 Ae와 직경 D인 원판, 즉 프로펠러원판(propeller disc)의 면적 A0의 비로 정의되며, 프로펠러의 역학적 특성을 나타내는 중요한 인자다.

 

 

 

2. 프로펠러 추진의 유체역학적 원리

프로펠러의 축심으로부터 반경 방향으로 일정한 거리에 있는 단면은 위에서 언급한 바와 같이 항공익(airfoil) 또는 수중익(hydrofoil)과 같이 양력을 발생하는 날개 단면의 형상을 가지도록 제작되며, 각각의 날개 단면이 발생하는 양력과 항력을 알면 프로펠러가 발생하는 추력과 프로펠러를 회전시키는데 필요한 토크(torque)를 얻을 수 있다. 보다 자세한 사항은 유체역학 및 저항 추진 과목으로 미루기로 하고 여기서는 날개 단면, 즉 2차원 형상을 가진 날개 단면이 양력을 발생시키는 메커니즘에 대해 간단히 살펴보기로 한다.

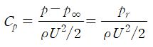
아래 그림(a)에 보인 바와 같이 날개단면이 속도 U의 균일 유동 중에 놓여 있다고 가정하자. 유체에 의해 날개 단면에 작용하는 힘은 균일 유동 방향의 성분과 그에 수직한 방향의 성분으로 분해할 수 있는데, 전자는 항력(drag), 후자는 양력(lift) L이라고 부른다. 항력과 양력은 간단한 실험에 의해 얻을 수 있으며 라이트(Wright) 형제가 1903년 최초의 비행기를 날리기 위해 무수히 반복했던 것과 같은 실험이다. 한편 유체의 점성을 무시하면 이와 같은 힘은 날개 단면에 작용하는 압력에 의해 생성되므로, 날개 단면에 작용하는 압력 p를 구할 수 있으면 양력 발생의 메커니즘에 대해 보다 잘 이해할 수 있다. p는 통상 날개 단면으로부터 충분히 멀리 떨어진 상류에서의 압력과의 차이, 즉 상대 압력(relative pressure)을 정체압으로 나누어 주어, 다음과 같이 정의되는 무차원량인 압력 계수 Cp로 나타내며, 

그림(b)에 실험에서 얻어지는 전형적인 압력분포를 보였다. 그림에서 수직축은 -Cp, 수평축은 코드이며, 위의 곡선은 날개단면의 윗부분, 즉 뒷면(back), 아래의 곡선은 날개 단면의 아랫부분, 즉 앞면(face)에 작용하는 상대 압력 pr을 무차원화한 값을 보여준다. 뒷면에 작용하는 pr은 음의 부호를, 앞면에 작용하는 pr은 양의 부호를 가짐을 알 수 있으며, 또한 앞면에 작용하는 pr보다 뒷면에 작용하는 음의 pr의 크기가 훨씬 큰 것을 알 수 있다. 날개 단면의 두께는 대부분 코드에 비해 대단히 작으므로 앞면과 뒷면에 작용하는 압력은 근사적으로 양력의 방향과 같다고 볼 수 있으며, 따라서 그림에서 위의 곡선과 아래의 곡선으로 이루어지는 도형의 면적은 그대로 날개 단면에 작용하는 양력에 비례하는 양이라고 볼 수 있다.

그림(a)에서 균일유동의 방향은 프로펠러에서는 축심에 중심을 가진 원의 원주방향, 그리고 양력의 방향은 배의 전진 방향과 근사적으로 일치한다고 볼 수 있다. 보다 정확하게 말하면, 프로펠러는 회전하면서 전진하므로 각 반경 위치 r에서 날개 단면에 들어오는 유동의 방향은 프로펠러 회전에 기인하는 원주방향의 속도, 프로펠러의 전진속도, 단위 시간당 날개 단면의 전진 거리에 의해 결정된다. 따라서 근사적으로 보면 각 날개 단면에 작용하는 양력을 반경 방향으로 적분하여 프로펠러에 작용하는 추력 T를 구할 수 있으며, 또한 각 날개 단면에 작용하는 항력의 축심에 대한 모멘트를 적분하여 프로펠러를 회전시키기 위해 필요한 토크 Q를 구할 수 있다.

출처: 네이버 블로그

 

반응형

'선박해양공학개론' 카테고리의 다른 글

8. 선박의 운동(1)  (0) 2022.02.05
7. 선박의 추진(2)  (0) 2022.02.04
6. 선박의 저항(3)  (0) 2022.01.31
6. 선박의 저항(2)  (0) 2022.01.30
6. 선박의 저항(1)  (0) 2022.01.26

댓글