본문 바로가기
선박해양공학개론

7. 선박의 추진(2)

by 별이쿤 2022. 2. 4.
반응형

7.1.2 선박의 추진동력과 효율

현재 대부분의 배는 기관-프로펠러 계(engine-propeller system)에 의해 추진되고 있다. 기관에 의해 생성된 동력(power)이 축계에 의해 프로펠러로 전달되며, 프로펠러는 회전하는데 필요한 동력을 공급받으면서 배에 필요한 추력을 생성한다. 이와 같은 기관-축계-프로펠러 추진장치(propulsion system)라고 부르는데, 배의 추진효율(propulsive efficiency)을 구하기 위해서는 이러한 추진장치뿐만 아니라 프로펠러가 배 뒤에서 추력을 생성하고 있으므로 선각-프로펠러 상호작용(hull-propeller interaction)에 의한 부분까지 고려되어야 한다. 아래에서는 배의 추진효율을 정의하기 위해 필요한 개념, 물리량들에 대해 생각한다.

 

1. 여러 가지 동력과 효율

프로펠러를 회전시키는 동력은 기관에서 생성되어 축계를 통해 프로펠러에 전달되므로 동력을 어디서 계측하느냐에 따라 여러 가지 방법으로 동력을 정의할 수 있다.

출처: 네이버 블로그

 

 

1) 지시동력(indicated power) PI

예를 들어 기관이 디젤기관과 같은 내연기관인 경우, 지시동력은 내연기관의 실린더 내에서 생성되는 동력으로 다음과 같이 정의할 수 있다.

여기서 Pm은 평균 유효압력, A는 피스톤의 유효면적, s는 피스톤의 행정(stroke), n은 단위시간당 연소 횟수, Nc는 실린더의 수이다.

 

 

2) 제동동력(brake power) PB

기관의 크랭크축(crank shaft), 즉 기관축(engine shaft)은 축계와 연결되는데 이 축을 제동하는데 필요한 동력을 제동동력이라고 정의한다.

 

 

3) 축동력(shaft power) PS

증기터빈과 같은 경우에는 축계가 프로펠러축(propeller shaft)에 연결된 부분에 전달된 동력을 축동력 PS로 다음과 같이 정의할 수 있다.

여기서 Qs는 축계의 토크이며, n은 초당회전수(rps, revolutions per second)이다.

 

 

4) 전달동력(delivered power) PD

프로펠러는 프로펠러축을 통해 축계와 연결되어 있는데 전달동력은 실제 프로펠러축에 전달된 동력으로 다음과 같이 정의할 수 있다.

여기서 Q는 프로펠러축의 토크이다.

 

 

5) 추진동력(thrust power) PT

추진동력은 프로펠러가 단위시간당 실제로 한 일(work)로 다음과 같이 정의할 수 있다.

여기서 T는 프로펠러가 제공한 추려이며, VA는 프로펠러의 전진속도이다. 프로펠러 주위의 유체는 작지만 어느 정도의 속도로 배와 같이 움직이고 있으므로 프로펠러의 유체에 대한 상대적인 전진속도는 일반적으로 배의 전진속도 보다 작다는 점에 유의한다.

 

 

6) 유효동력(effective power) PE

유효동력은 일정한 속도로 전진하는 배가 단위시간당 한 일로 다음과 같이 정의할 수 있다.

여기서 R은 전체저항이며 V는 배의 속도이다.

 

 

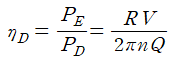
7) 준추진효율(quasi-propulsive efficiency)과 선각효율(hull efficiency)

배에 따라 기관의 종류가 다르므로, 실제로 프로펠러-선박의 추진효율은 프로펠러축에 전달된 동력, 즉 전달동력과 유효동력의 비로 정의되는 준추진효율을 기준으로 삼는다.

또한 추진동력과 유효동력의 비는 선각효율로 정의한다.

일반적으로 배가 받는 저항 R과 프로펠러가 제공하는 추력 T는 당연히 같아야 하지만, 여기서 저항 R은 배에 프로펠러가 장착되지 않았을 때의 저항, 즉 알몸저항(bare hull resistance)이며, 추력 T는 프로펠러가 배 뒤에 장착되어 발생하는 추력이므로, 서로 같지 않은 점에 유의한다.

 

 


2. 선체-프로펠러 상호작용과 효율

위에서 살펴본 바와 같이 배의 준추진효율을 알기 위해서는 선각효율을 알아야 하는데 이하에서는 이에 대해 먼저 살펴보고 마지막으로 준추진효율에 대해 생각한다.

 

 

1) 반류비(wake fraction)

배가 일정한 속도 V로 전진할 때, 선미 부분의 물은 배와 같은 방향으로 어느 정도의 속도를 가지고 배와 같이 이동하는데 이와 같은 유동을 반류(wake)라고 한다. 따라서 실제 프로펠러에 유입되는 유속과 차이가 발생하며, 이와 같은 반류의 프로펠러 원판에서의 평균속도를 반류속도라고 부르면 반류비는 다음과 같이 정의한다.

배에 프로펠러가 장착되지 않은 상태에서의 반류를 공칭반류(nominal wake), 프로펠러가 장착되어 작동되는 상태에서의 반류를 유효반류(effective wake)라고 한다.

 

 

2) 추력감소비(thrust deduction fraction)

프로펠러가 배의 뒷부분에 장착되어 작동되면 프로펠러 앞쪽의 물을 빨아들여 뒤쪽으로 보다 높은 속도로 내보내며, 이와 같은 과정을 통해 추력을 발생하게 되므로, 프로펠러가 장착되어 있지 않은 경우와 비교하면 선미 부분의 유속이 증가하고 그에 따라 압력이 감소하여 결국 저항이 증가하는 현상이 생긴다. 이와 같은 저항증분을 △R이라고 하면 프로펠러가 장착되어 있을 때 프로펠러가 발생하는 추력과 그때 배가 받는 저항, 즉 R+△R이 같아야 하며, 추력감소비 t는 다음과 같이 정의한다.

 

 

3) 선각효율

앞의 식으로 정의된 선각효율은 위의 두 식의 결과를 이용하여 다음과 같이 바꾸어 쓸 수 있다.

이 식에 따르면 추력감소비가 작으면 작을수록, 반류비가 크면 클수록 선각효율은 증가함을 알 수 있다.

 

 

4) 선미효율(efficiency behind the hull)

앞의 식으로 정의된 준추진효율을 선각효율식을 사용하여 다시 쓰면 다음을 얻는데,

여기서 우변의 마지막 비, 추진동력과 전달동력의 비는 선미효율로 다음과 같이 정의된다.

선미효율은 프로펠러가 선체 뒤에서 작동할 때의 효율이라고 볼 수 있다. 선미효율을 사용하면 다음을 얻는다.

위 식에 따르면 준추진효율은 추력감소비, 반류비, 선미효율의 함수이므로, 배의 추진효율을 높이기 위해서는 프로펠러, 선형 등 각각의 구성요소뿐만 아니라 그들이 적절한 조화를 이룰 수 있도록 해야만 함을 알 수 있다. 실선의 유효동력은 저항시험으로부터 얻을 수 있는데, 위 식에 따르면 실선의 전달동력를 구하기 위해서는 선각효율과 선미효율을 알아야 하며, 선각효율을 알기 위해서는 반류비와 추력감소비를 알아야 한다. 이들은 프로펠러 단독시험, 자항시험 등을 통해 결정된다.

반응형

'선박해양공학개론' 카테고리의 다른 글

8. 선박의 운동(2)  (0) 2022.02.06
8. 선박의 운동(1)  (0) 2022.02.05
7. 선박의 추진(1)  (0) 2022.02.03
6. 선박의 저항(3)  (0) 2022.01.31
6. 선박의 저항(2)  (0) 2022.01.30

댓글